-
Math Question #4
The final one:
To evaluate the limit, we apply standard trigonometric identities to decompose the expression into terms involving sin(x)/x for which a limit for x→0 exists.
While algebraic manipulation to eliminate the denominator is sometimes effective, it is not applicable in this case.
Instead, recognizing and leveraging this fundamental limit allows for a straightforward and elegant solution.
-
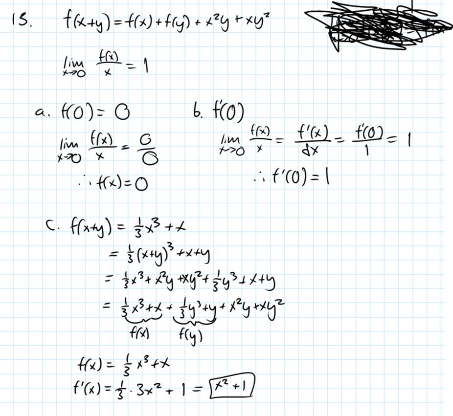
Math Question #3
Here is the third one:
Option c) leads to the solution. The expression
f(x) + f(y) + x²y + xy²
is part of the expansion of the binomial
(x+y)³
If f(x) corresponds to the first or last term of the binomial expansion, the equation can be solved.
-
Math Question #2
Here is the second one:
Start by moving the x term to the right-hand side and setting x=0. This is the first equation for b.
Then with b in place, get the second equation. Isolate a and substitute 0 for x. This gets
-
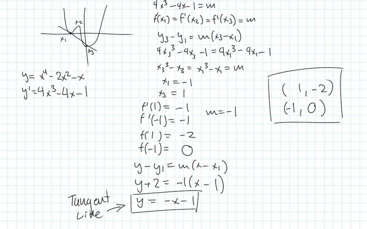
Math Question #1
I've been helping out with high school math lately, and some of the questions are quite interesting.
Check this one out:
The key is to derive two equations from the derivative. With a fourth-degree polynomial, we get three points where the slope is the same, but only two of them share a common tangent line.
After that, everything falls into place.
-
Custom airfilter box version 2.0
The custom airfilter box needed an update. Too much air flow caused a lean mixture.
The solution is an adjustable air flow.
The tubes were made out of stainless steel, grade 304.Changed the filter from 6" length to 5" length (K&N Filter RD-0610) to cover for the air adjustment lever.